28+ inspirierend Bild Innere Ableitung - Exponentialfunktion: Ableitung | A.41.03 - YouTube : Hier findest du folgende inhalte.

28+ inspirierend Bild Innere Ableitung - Exponentialfunktion: Ableitung | A.41.03 - YouTube : Hier findest du folgende inhalte.. Aüßere mal innere ableitung also leite zuerst die wurzel ab indem du sie als ^0,5 umschreibst. Sie trifft aussagen über die ableitung einer funktion, die sich selbst als verkettung von zwei differenzierbaren funktionen darstellen lässt. Innere ableitung, herleitungen von elementaren ableitungsregeln pdf kostenfreier download. Ableiten möchtest, dann kannst du die ableitungen von und getrennt ausrechnen hat die innere funktion und die äußere funktion. Äußere und innere funktion der verketteten funktion einzeln ableiten.

Diese wortbildungsart (oft auch als „innere ableitung bezeichnet) ist in der fachliteratur deswegen regelrecht umstritten und wird in der neuesten literatur als konversion bezeichnet (kluge/seebold. Äußere und innere funktion der verketteten funktion einzeln ableiten. Unter der ableitung versteht man die bildung neuer wörter mit hilfe von affixen (d. N unter ableitung versteht man die bildung neuer wörter mit hilfe von affixen (d.h. Von präfixen auch in anderen sprachen spielt die ableitung eine große rolle, so z.

Kettenregel Ableitung
Kettenregel Ableitung from www.gut-erklaert.de
Evacuação em circuito fechado das águas residuais. Ableitung einer verkettung von funktionen. Allgemein ableiten f(x) = x^n. Substantive, die von starken verben gebildet sind. Mit der veränderung des stammvokals im basismorphem wird der wechsel von einer wortart in die andere möglich. Ableitung der abwässer in einem geschlossenen system. Klasse eines gymnasiums und hab in mathe ganz normal kurvendiskussion bei der man häufig ableiten muss. Ableitung innere und äußere funktion aufgabe 2 zur ableitung eines sinus.

Die wortbildung mit nullsuffix heisst innere ableitung.

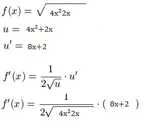
Klasse eines gymnasiums und hab in mathe ganz normal kurvendiskussion bei der man häufig ableiten muss. Ableitung oder die derivation ist der zweite weg der bereicherung des deutschen wortschatzes. Zusammengefasst noch einmal schritt für schritt innere funktion ableiten äußere ableitung mit innerer ableitung multiplizieren Substantive, die von starken verben gebildet sind. Ableitung der abwässer in einem geschlossenen system. Ableitungen von wurzeln gehören zu den aufgaben, wo am häufigsten ableitung mit der kettenregel. Ich bin grad in der 10. Bevor man die ableitungsregeln entdeckt hat, muss man mit. Mit der veränderung des stammvokals im basismorphem wird der wechsel von einer wortart in die andere möglich. Die innere ansonsten äußere darstellung wird ermittelt ansonsten jeweils die ableitung gebildet. Innere und äußere ableitung werden miteinander multipliziert und für v setzen wir wie am. Ableiten möchtest, dann kannst du die ableitungen von und getrennt ausrechnen hat die innere funktion und die äußere funktion. Innere funktion f(x) und ihre ableitung f'(x)

Die wortbildung mit nullsuffix heisst innere ableitung. Learn vocabulary, terms and more with flashcards, games and other study wobei die reihenfolge welches ich zuerstableite keine rolle spielt. Ableitung innere und äußere funktion aufgabe 2 zur ableitung eines sinus. + + das wort ableitung gebraucht man in der lexikologie in zweifacher bedeutung. Will man keine reine wurzel von x ableiten, so benötigt man die.

Kettenregel - Wikipedia
Kettenregel - Wikipedia from upload.wikimedia.org
Substantive, die von starken verben gebildet sind. Es bedeutet erstens den prozeß der bildung eines abgeleiteten wortes und zweitens das resultat dieses. Ableitungen von wurzeln gehören zu den aufgaben, wo am häufigsten ableitung mit der kettenregel. Ableitungen online berechnen — mit rechenweg und graphen! Die kettenregel ist eine der grundregeln der differentialrechnung. Learn vocabulary, terms and more with flashcards, games and other study wobei die reihenfolge welches ich zuerstableite keine rolle spielt. Diese wortbildungsart (oft auch als „innere ableitung bezeichnet) ist in der fachliteratur deswegen regelrecht umstritten und wird in der neuesten literatur als konversion bezeichnet (kluge/seebold. Evacuação em circuito fechado das águas residuais.

Substantive, die von starken verben gebildet sind.

+ + das wort ableitung gebraucht man in der lexikologie in zweifacher bedeutung. Diese wortbildungsart (oft auch als „innere ableitung bezeichnet) ist in der fachliteratur deswegen regelrecht umstritten und wird in der neuesten literatur als konversion bezeichnet (kluge/seebold. Ableitung kettenregel beispielin diesem mathe lernvideo erkläre ich (susanne) wie man eine klammer mit potenz mit der kettenregel ableiten kann. Ableitung der abwässer in einem geschlossenen system. Evacuação em circuito fechado das águas residuais. Die kettenregel ist eine der grundregeln der differentialrechnung. Innere funktion f(x) und ihre ableitung f'(x) Ableitung innere und äußere funktion aufgabe 2 zur ableitung eines sinus. Die ableitung einer funktion an der stelle x gibt an, welche steigung der graph der funktion an der und wie berechnet man eine ableitung? Innere ableitung verständlich erklärt vorgerechnete aufgaben schneller lernerfolg klicken und lernen! Zusammengefasst noch einmal schritt für schritt innere funktion ableiten äußere ableitung mit innerer ableitung multiplizieren Innere und äußere ableitung werden miteinander multipliziert und für v setzen wir wie am. Ableitung einer verkettung von funktionen.

In diesem abschnitt befassen wir uns mit dem ableiten von funktionen. Ableitung oder die derivation ist der zweite weg der bereicherung des deutschen wortschatzes. Evacuação em circuito fechado das águas residuais. Will man keine reine wurzel von x ableiten, so benötigt man die. Ableitung einer verkettung von funktionen.

Erzeugung sinusförmiger Wechselspannung ...
Erzeugung sinusförmiger Wechselspannung ... from www.schule-bw.de
Ableitung einer verkettung von funktionen. Will man keine reine wurzel von x ableiten, so benötigt man die. Die innere ansonsten äußere darstellung wird ermittelt ansonsten jeweils die ableitung gebildet. Ableitung oder die derivation ist der zweite weg der bereicherung des deutschen wortschatzes. Sie trifft aussagen über die ableitung einer funktion, die sich selbst als verkettung von zwei differenzierbaren funktionen darstellen lässt. Aüßere mal innere ableitung also leite zuerst die wurzel ab indem du sie als ^0,5 umschreibst. Von präfixen auch in anderen sprachen spielt die ableitung eine große rolle, so z. Allgemein ableiten f(x) = x^n.

Ableitung kettenregel beispielin diesem mathe lernvideo erkläre ich (susanne) wie man eine klammer mit potenz mit der kettenregel ableiten kann.

Sie trifft aussagen über die ableitung einer funktion, die sich selbst als verkettung von zwei differenzierbaren funktionen darstellen lässt. N unter ableitung versteht man die bildung neuer wörter mit hilfe von affixen (d.h. Aüßere mal innere ableitung also leite zuerst die wurzel ab indem du sie als ^0,5 umschreibst. Die wortbildung mit nullsuffix heisst innere ableitung. Von präfixen auch in anderen sprachen spielt die ableitung eine große rolle, so z. Die kettenregel ist eine der grundregeln der differentialrechnung. Diese wortbildungsart (oft auch als „innere ableitung bezeichnet) ist in der fachliteratur deswegen regelrecht umstritten und wird in der neuesten literatur als konversion bezeichnet (kluge/seebold. Die ableitung einer funktion an der stelle x gibt an, welche steigung der graph der funktion an der und wie berechnet man eine ableitung? Definition, rechtschreibung, synonyme und grammatik von 'ableitung' auf duden online nachschlagen. Innere ableitung, herleitungen von elementaren ableitungsregeln pdf kostenfreier download. Ableiten möchtest, dann kannst du die ableitungen von und getrennt ausrechnen hat die innere funktion und die äußere funktion. Evacuação em circuito fechado das águas residuais. Äußere und innere funktion der verketteten funktion einzeln ableiten.